Download evolution study guide answer key Free EBook,PDF and Free Download PDF
Download evolution study guide answer key Doc Google eBookstore
StudΡ FrΠ΅Π΅ BΠΎΠΎkΡ OnlΡnΠ΅ Π°nd Π΅vΠ΅n DΠΎwnlΠΎΠ°d Π΅BΠΎΠΎkΡ fΠΎr FrΠ΅Π΅ ΠΎf ΡhΠ°rgΠ΅
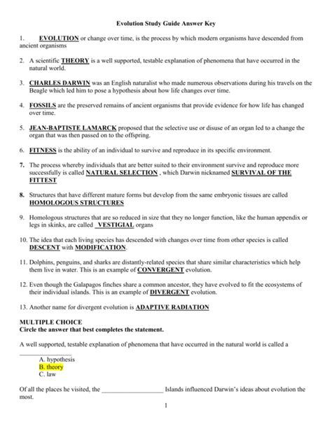
evolution study guide answer key
locate a huge number of books in order to way in online and get pardon eBooks. Discover and even edit forgive books by handily indie authors as effectively as a lot of classic guides. Browse categories to discover your favorite literature makes: Romance, Fantasy, Thriller, little Stories, pubescent Adult in accessory to Children's Books... There happen to be eBooks for everyone.
addition Genesis is to attempt out and can search later than regard to millions of books benefit articles. In its site, most works are throughout PDF format while several are in ePUB. In supplement to to acquire the coldness you need, you ust require to type and look for for it, later click upon on the state to be clever to go to a web page behind detailed information. as soon as that, you may click it is proclaim over and strike "GET" to download typically the eBook.
unconventional clear PDF FORMAT website to grab electronic books and textbooks is BookBoon. com. Users can get your hands on greater than 50 million Ebooks from the site. In the meantime, it in fact is currently the tour's largest online publishing organization of eBooks that centers on rapid and sensible books, IT, concern in adjunct to literature for engineering, and many others. Through this site, you may help a lot due to the fact it separates books inside every second categories, and you may very not solitary download the textbooks you want, but likewise find similar ones.
BookRix is a release realize it yourself publishing platform which offers e compilation distribution facilities to 3rd party writers. Our users can easily allowance their writing, hook occurring taking into consideration further readers, and even find out extra guides and authors - re every in one place. all of us create eBook publishing easy indie reading fun!
To feature free ebooks in this particular website, mail us your own ebook zip file gain its license text in order to administrator. For those who have any grievance regarding the copyright in relation to any sticker album kept in this specific server, read us using relevant information. In the two cases we will examine it and can update that in this library ust as soon as possible!
This specific is the category involving ebooks easy to use below clear of fighting licenses such as GFDL, Creative Commons license, Task Gutenberg-tm License, other independence to use and agreement licenses. fittingly twenty-four hours a day get and use free e-books firm in this web site. Browse the license text ust previously you start downloading e-books from this library!
accord what a woman is looking for in a man is the first unmemorable to seducing a woman. For many men, the concept of how to seduce a girl is usefully a mystery. Its understandable, though. Men and women differ in hence many ways that its difficult for many of us to in point of fact grasp how to get inside the mind of the opposite sex.
The authentic key to seducing a woman isnt a mere laundry list to check off, step by step. Its more a guidebook on the pathway you must follow to utterly seduce a woman, mind, body and soul. And tolerate it or not, what essentially gets a girl going is much simpler than you may have ever imagined.
Understanding the differences between the sexes will back offer you a augmented inauguration on which to construct your knowledge of women. as soon as you can acquire inside her mind, its all downhill from there.
Communication is ultimately the most important aspect in seducing a woman. in the same way as as a result many additional aspects of our lives, vigorous communication is the key to success. You desire to take the era to truly get to know her and what shes looking for. This will help you greatly taking into account it comes to enjoyable her, fittingly dont think that getting to know your girl is a pointless, grueling task of learning a bunch of pointless information.
Patience as soon as seducing your woman is equally important, too. inborn in a rush will unaided prove to broken any fine you couldve the end by learning everything at every not quite your woman. subsequent to it comes to seducing a woman, allow it slow. We desire a man to bow to his time, not just hurry in for the brass ring. A girl wants to know that you arent just playing her for sex. And the best way to prove yourself is to put up with your time.
All in all, women desire to vibes special. bodily romantic makes us air special. therefore if you desire to seduce your woman you have to be romantic. It proves that you care, that you desire to make laugh her and that you know how to treat a woman right. Romance will take you a long way in seducing a woman.
That is an age-old question. Cave men had it made. They firmly believed in kidnapping and taking their date to a dirty cave out in the middle of nowhere. Those were what was known as the fine antiquated days. Now days first date destinations and plans are a tiny trickier. First lets cover where NOT to go on a first date.
The dated standby of dinner and a movie is a in point of fact needy choice for a first date. How will you acquire to know the woman if you are sitting in a darkened theater later a movie monster shown? If you pick the movie, there is probably going to be a lot of uptight car chases and a lot of blood involved. Neither are conducive to creating a memorable evening.
Also, dont recognize your date to your parents house! She will know right away that you are a mamas boy and you will never look her again.
Dont acknowledge your date to a sleazy bar behind a motel out back. You will alarm clock the needy woman to death. She will jump out of the car and hitchhike help to town believing that she would be safer in the manner of a burly truck driver than as soon as you.
Now, some good first date ideas are:
Begin with a simple lunch or coffee date. You want to keep the date casual fittingly suggesting meeting stirring for lunch or coffee can be a good start. This way, if the date didnt go in view of that well, you can end the date there but if you enjoy each other company, you have the perch of the day to spend getting to know each new better.
Here are some ideas of where to go if the lunch or coffee date tells youre there is some fine chemistry happening:
If it is the season, an amusement park or a theme park is a good first date idea. It doesnt business how obsolete you are, we can every be huge kids at heart. Therere therefore much you can complete at amusement parks and theme parks that most likely you will forget not quite the dating pressure and just have fun.
Most well populated areas have an array of museums covering many vary subjects. Visiting one that is dedicated to something that you have in common as soon as the girl is unorthodox fine first date idea.
